LeetCode94. 二叉树的中序遍历
问题描述
原文链接:94. 二叉树的中序遍历
给定一个二叉树的根节点 root ,返回它的中序遍历 。
示例 1:

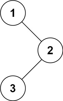
输入:root = [1,null,2,3]
输出:[1,3,2]
示例 2:
输入:root = []
输出:[]
示例 3:
输入:root = [1]
输出:[1]
提示:
- 树中节点数目在范围
[0, 100]内 -100 <= Node.val <= 100
代码实现
Java
/**
* Definition for a binary tree node.
* public class TreeNode {
* int val;
* TreeNode left;
* TreeNode right;
* TreeNode() {}
* TreeNode(int val) { this.val = val; }
* TreeNode(int val, TreeNode left, TreeNode right) {
* this.val = val;
* this.left = left;
* this.right = right;
* }
* }
*/
class Solution {
public List<Integer> inorderTraversal(TreeNode root) {
if(root == null){
return new ArrayList<>();
}
Stack<TreeNode> stack = new Stack();
List<Integer> res = new ArrayList();
while(!stack.isEmpty() || root != null){
if(root != null){
stack.push(root);
root = root.left;
}else{
TreeNode temp = stack.pop();
res.add(temp.val);
root = temp.right;
}
}
return res;
}
}
Python
# Definition for a binary tree node.
# class TreeNode(object):
# def __init__(self, val=0, left=None, right=None):
# self.val = val
# self.left = left
# self.right = right
class Solution(object):
def inorderTraversal(self, root):
"""
:type root: TreeNode
:rtype: List[int]
"""
if root is None:
return []
stack = []
res = []
while len(stack) > 0 or root:
if root:
stack.append(root)
root = root.left
else:
temp = stack.pop()
res.append(temp.val)
root = temp.right
return res
C++
/**
* Definition for a binary tree node.
* struct TreeNode {
* int val;
* TreeNode *left;
* TreeNode *right;
* TreeNode() : val(0), left(nullptr), right(nullptr) {}
* TreeNode(int x) : val(x), left(nullptr), right(nullptr) {}
* TreeNode(int x, TreeNode *left, TreeNode *right) : val(x), left(left), right(right) {}
* };
*/
class Solution {
public:
vector<int> inorderTraversal(TreeNode* root) {
if(root == nullptr){
return {};
}
stack<TreeNode*> st;
vector<int> res;
while(!st.empty() || root != nullptr){
if(root != nullptr){
st.push(root);
root = root->left;
}else{
TreeNode* temp = st.top();
st.pop();
res.push_back(temp->val);
root = temp->right;
}
}
return res;
}
};
Go
/**
* Definition for a binary tree node.
* type TreeNode struct {
* Val int
* Left *TreeNode
* Right *TreeNode
* }
*/
func inorderTraversal(root *TreeNode) []int {
if root == nil{
return []int{}
}
var stack []*TreeNode
var res []int
for len(stack) > 0 || root != nil{
if root != nil{
stack = append(stack, root)
root = root.Left
}else{
temp := stack[len(stack)-1]
stack = stack[:len(stack)-1]
res = append(res, temp.Val)
root = temp.Right
}
}
return res
}