LeetCode203.移除链表元素🌟🌟🌟🌟🌟简单
问题描述
原文链接:203. 移除链表元素
给你一个链表的头节点 head 和一个整数 val ,请你删除链表中所有满足 Node.val == val 的节点,并返回新的头节点 。
示例 1:

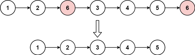
输入:head = [1,2,6,3,4,5,6], val = 6
输出:[1,2,3,4,5]
示例 2:
输入:head = [], val = 1
输出:[]
示例 3:
输入:head = [7,7,7,7], val = 7
输出:[]
提示:
- 列表中的节点数目在范围
[0, 104]内 1 <= Node.val <= 500 <= val <= 50
思路讲解
代码实现
Java
/**
* Definition for singly-linked list.
* public class ListNode {
* int val;
* ListNode next;
* ListNode() {}
* ListNode(int val) { this.val = val; }
* ListNode(int val, ListNode next) { this.val = val; this.next = next; }
* }
*/
class Solution {
public ListNode removeElements(ListNode head, int val) {
// 删除头节点
while(head != null && head.val == val){
head = head.next;
}
if(head == null){
return head;
}
ListNode cur = head.next;
ListNode pre = head;
while(cur != null){
if(cur.val == val){
pre.next = cur.next;
}else{
pre = cur;
}
cur = cur.next;
}
return head;
}
}
Python
# Definition for singly-linked list.
# class ListNode(object):
# def __init__(self, val=0, next=None):
# self.val = val
# self.next = next
class Solution(object):
def removeElements(self, head, val):
"""
:type head: ListNode
:type val: int
:rtype: ListNode
"""
# 删除头节点
while(head != None and head.val == val):
head = head.next
if(head == None):
return head
cur = head.next
pre = head
while(cur != None):
if(cur.val == val):
pre.next = cur.next
else:
pre = cur
cur = cur.next
return head
C++
/**
* Definition for singly-linked list.
* struct ListNode {
* int val;
* ListNode *next;
* ListNode() : val(0), next(nullptr) {}
* ListNode(int x) : val(x), next(nullptr) {}
* ListNode(int x, ListNode *next) : val(x), next(next) {}
* };
*/
class Solution {
public:
ListNode* removeElements(ListNode* head, int val) {
// 删除头节点
while(head != nullptr && head->val == val){
head = head->next;
}
if(head == nullptr){
return head;
}
ListNode* cur = head->next;
ListNode* pre = head;
while(cur != nullptr){
if(cur->val == val){
pre->next = cur->next;
}else{
pre = cur;
}
cur = cur->next;
}
return head;
}
};
Go
/**
* Definition for singly-linked list.
* type ListNode struct {
* Val int
* Next *ListNode
* }
*/
func removeElements(head *ListNode, val int) *ListNode {
// 删除头节点
for head != nil && head.Val == val {
head = head.Next
}
if head == nil {
return head
}
cur := head.Next
pre := head
for cur != nil {
if cur.Val == val {
pre.Next = cur.Next
} else {
pre = cur
}
cur = cur.Next
}
return head
}