่ทฏๅพๆปๅ1 ๐๐๐๐็ฎๅ
่ฏพๅไฝไธ
้ฎ้ขๆ่ฟฐ
ๅๆ้พๆฅ๏ผ112. ่ทฏๅพๆปๅ
็ปไฝ ไบๅๆ ็ๆ น่็น root ๅไธไธช่กจ็คบ็ฎๆ ๅ็ๆดๆฐ targetSum ใๅคๆญ่ฏฅๆ ไธญๆฏๅฆๅญๅจๆ น่็นๅฐๅถๅญ่็น็่ทฏๅพ๏ผ่ฟๆก่ทฏๅพไธๆๆ่็นๅผ็ธๅ ็ญไบ็ฎๆ ๅ targetSum ใๅฆๆๅญๅจ๏ผ่ฟๅ true ๏ผๅฆๅ๏ผ่ฟๅ false ใ
ๅถๅญ่็นๆฏๆๆฒกๆๅญ่็น็่็นใ
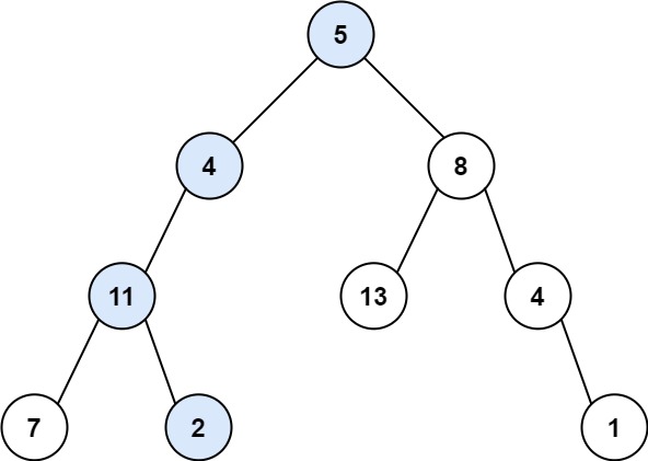
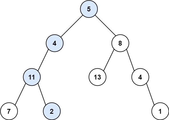
็คบไพ 1๏ผ

่พๅ
ฅ๏ผroot = [5,4,8,11,null,13,4,7,2,null,null,null,1], targetSum = 22
่พๅบ๏ผtrue
่งฃ้๏ผ็ญไบ็ฎๆ ๅ็ๆ น่็นๅฐๅถ่็น่ทฏๅพๅฆไธๅพๆ็คบใ
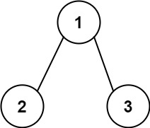
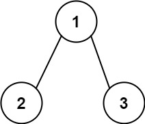
็คบไพ 2๏ผ

่พๅ
ฅ๏ผroot = [1,2,3], targetSum = 5
่พๅบ๏ผfalse
่งฃ้๏ผๆ ไธญๅญๅจไธคๆกๆ น่็นๅฐๅถๅญ่็น็่ทฏๅพ๏ผ
(1 --> 2): ๅไธบ 3
(1 --> 3): ๅไธบ 4
ไธๅญๅจ sum = 5 ็ๆ น่็นๅฐๅถๅญ่็น็่ทฏๅพใ
็คบไพ 3๏ผ
่พๅ
ฅ๏ผroot = [], targetSum = 0
่พๅบ๏ผfalse
่งฃ้๏ผ็ฑไบๆ ๆฏ็ฉบ็๏ผๆไปฅไธๅญๅจๆ น่็นๅฐๅถๅญ่็น็่ทฏๅพใ
ๆ็คบ๏ผ
- ๆ ไธญ่็น็ๆฐ็ฎๅจ่ๅด
[0, 5000]ๅ -1000 <= Node.val <= 1000-1000 <= targetSum <= 1000
ไปฃ็ ๅฎ็ฐ
Java
/**
* Definition for a binary tree node.
* public class TreeNode {
* int val;
* TreeNode left;
* TreeNode right;
* TreeNode() {}
* TreeNode(int val) { this.val = val; }
* TreeNode(int val, TreeNode left, TreeNode right) {
* this.val = val;
* this.left = left;
* this.right = right;
* }
* }
*/
class Solution {
public boolean hasPathSum(TreeNode root, int targetSum) {
if(root == null){
return false;
}
if(root.left == null && root.right == null){
return root.val == targetSum;
}
return hasPathSum(root.left, targetSum - root.val)
|| hasPathSum(root.right, targetSum - root.val);
}
}
Python
# Definition for a binary tree node.
# class TreeNode(object):
# def __init__(self, val=0, left=None, right=None):
# self.val = val
# self.left = left
# self.right = right
class Solution(object):
def hasPathSum(self, root, targetSum):
"""
:type root: TreeNode
:type targetSum: int
:rtype: bool
"""
if not root:
return False
if not root.left and not root.right:
return root.val == targetSum
return self.hasPathSum(root.left, targetSum - root.val) or self.hasPathSum(root.right, targetSum - root.val)
C++
/**
* Definition for a binary tree node.
* struct TreeNode {
* int val;
* TreeNode *left;
* TreeNode *right;
* TreeNode() : val(0), left(nullptr), right(nullptr) {}
* TreeNode(int x) : val(x), left(nullptr), right(nullptr) {}
* TreeNode(int x, TreeNode *left, TreeNode *right) : val(x), left(left), right(right) {}
* };
*/
class Solution {
public:
bool hasPathSum(TreeNode* root, int targetSum) {
if (!root) {
return false;
}
if (!root->left && !root->right) {
return root->val == targetSum;
}
return hasPathSum(root->left, targetSum - root->val) || hasPathSum(root->right, targetSum - root->val);
}
};
Go
/**
* Definition for a binary tree node.
* type TreeNode struct {
* Val int
* Left *TreeNode
* Right *TreeNode
* }
*/
func hasPathSum(root *TreeNode, targetSum int) bool {
if root == nil {
return false
}
if root.Left == nil && root.Right == nil {
return root.Val == targetSum
}
return hasPathSum(root.Left, targetSum-root.Val) || hasPathSum(root.Right, targetSum-root.Val)
}