对称二叉树 🌟🌟🌟简单
课后作业
问题描述
原文链接:101. 对称二叉树
给你一个二叉树的根节点 root , 检查它是否轴对称。
示例 1:

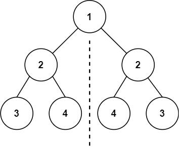
输入:root = [1,2,2,3,4,4,3]
输出:true
示例 2:

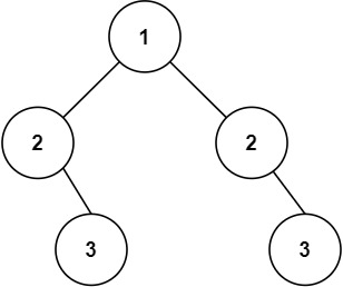
输入:root = [1,2,2,null,3,null,3]
输出:false
提示:
- 树中节点数目在范围
[1, 1000]内 -100 <= Node.val <= 100
代码实现
Java
/**
* Definition for a binary tree node.
* public class TreeNode {
* int val;
* TreeNode left;
* TreeNode right;
* TreeNode() {}
* TreeNode(int val) { this.val = val; }
* TreeNode(int val, TreeNode left, TreeNode right) {
* this.val = val;
* this.left = left;
* this.right = right;
* }
* }
*/
class Solution {
public boolean isSymmetric(TreeNode root) {
if(root == null || (root.left == null && root.right == null)){
return true;
}
return f(root.left, root.right);
}
// 判断 A 和 B 是否互为镜像二叉树
boolean f(TreeNode A, TreeNode B){
if(A == null && B == null){
return true;
}
// 一个为 null 一个不为 null
if(A == null || B == null){
return false;
}
if(A.val != B.val){
return false;
}
return f(A.left, B.right) && f(A.right, B.left);
}
}
Python
# Definition for a binary tree node.
# class TreeNode(object):
# def __init__(self, val=0, left=None, right=None):
# self.val = val
# self.left = left
# self.right = right
class Solution(object):
def isSymmetric(self, root):
"""
:type root: TreeNode
:rtype: bool
"""
if not root or (not root.left and not root.right):
return True
return self.f(root.left, root.right)
# 判断 A 和 B 是否互为镜像二叉树
def f(self, A, B):
if not A and not B:
return True
# 一个为 None 一个不为 None
if not A or not B:
return False
if A.val != B.val:
return False
return self.f(A.left, B.right) and self.f(A.right, B.left)
C++
/**
* Definition for a binary tree node.
* struct TreeNode {
* int val;
* TreeNode *left;
* TreeNode *right;
* TreeNode() : val(0), left(nullptr), right(nullptr) {}
* TreeNode(int x) : val(x), left(nullptr), right(nullptr) {}
* TreeNode(int x, TreeNode *left, TreeNode *right) : val(x), left(left), right(right) {}
* };
*/
class Solution {
public:
bool isSymmetric(TreeNode* root) {
if (!root || (!root->left && !root->right)){
return true;
}
return f(root->left, root->right);
}
// 判断 A 和 B 是否互为镜像二叉树
bool f(TreeNode* A, TreeNode* B){
if (!A && !B){
return true;
}
// 一个为 nullptr 一个不为 nullptr
if (!A || !B){
return false;
}
if (A->val != B->val){
return false;
}
return f(A->left, B->right) && f(A->right, B->left);
}
};
Go
/**
* Definition for a binary tree node.
* type TreeNode struct {
* Val int
* Left *TreeNode
* Right *TreeNode
* }
*/
func isSymmetric(root *TreeNode) bool {
if root == nil || (root.Left == nil && root.Right == nil){
return true
}
return f(root.Left, root.Right)
}
// 判断 A 和 B 是否互为镜像二叉树
func f(A, B *TreeNode) bool {
if A == nil && B == nil{
return true
}
// 一个为 nil 一个不为 nil
if A == nil || B == nil{
return false
}
if A.Val != B.Val{
return false
}
return f(A.Left, B.Right) && f(A.Right, B.Left)
}