二叉搜索树中第K小的元素 🌟🌟🌟中等
课后作业
问题描述
原文链接:230. 二叉搜索树中第K小的元素
给定一个二叉搜索树的根节点 root ,和一个整数 k ,请你设计一个算法查找其中第 k 个最小元素(从 1 开始计数)。
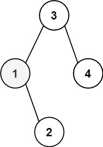
示例 1:

输入:root = [3,1,4,null,2], k = 1
输出:1
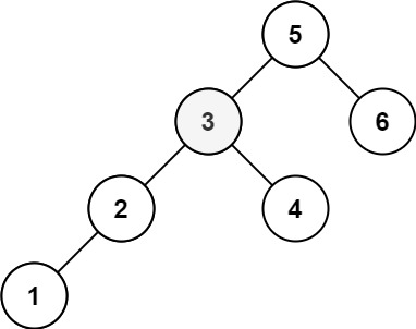
示例 2:

输入:root = [5,3,6,2,4,null,null,1], k = 3
输出:3
提示:
- 树中的节点数为
n。 1 <= k <= n <= 1040 <= Node.val <= 104
代码实现
Java
/**
* Definition for a binary tree node.
* public class TreeNode {
* int val;
* TreeNode left;
* TreeNode right;
* TreeNode() {}
* TreeNode(int val) { this.val = val; }
* TreeNode(int val, TreeNode left, TreeNode right) {
* this.val = val;
* this.left = left;
* this.right = right;
* }
* }
*/
class Solution {
int k = 0;
int target = 0;
public int kthSmallest(TreeNode root, int k) {
this.k = k;
dfs(root);
return target;
}
void dfs(TreeNode root){
if(root == null || k <= 0){
return;
}
dfs(root.left);
if(k == 1){
target = root.val;
k--;
return;
}
k--;
dfs(root.right);
}
}
Python
# Definition for a binary tree node.
# class TreeNode(object):
# def __init__(self, val=0, left=None, right=None):
# self.val = val
# self.left = left
# self.right = right
class Solution(object):
def kthSmallest(self, root, k):
"""
:type root: TreeNode
:type k: int
:rtype: int
"""
self.k = k
self.target = None
self.dfs(root)
return self.target
def dfs(self, root):
if not root or self.k <= 0:
return
self.dfs(root.left)
if self.k == 1:
self.target = root.val
self.k -= 1
return
self.k -= 1
self.dfs(root.right)
C++
/**
* Definition for a binary tree node.
* struct TreeNode {
* int val;
* TreeNode *left;
* TreeNode *right;
* TreeNode() : val(0), left(nullptr), right(nullptr) {}
* TreeNode(int x) : val(x), left(nullptr), right(nullptr) {}
* TreeNode(int x, TreeNode *left, TreeNode *right) : val(x), left(left), right(right) {}
* };
*/
class Solution {
public:
int k;
int target;
int kthSmallest(TreeNode* root, int k) {
this->k = k;
dfs(root);
return target;
}
void dfs(TreeNode* root){
if(!root || k <= 0){
return;
}
dfs(root->left);
if(k == 1){
target = root->val;
k--;
return;
}
k--;
dfs(root->right);
}
};